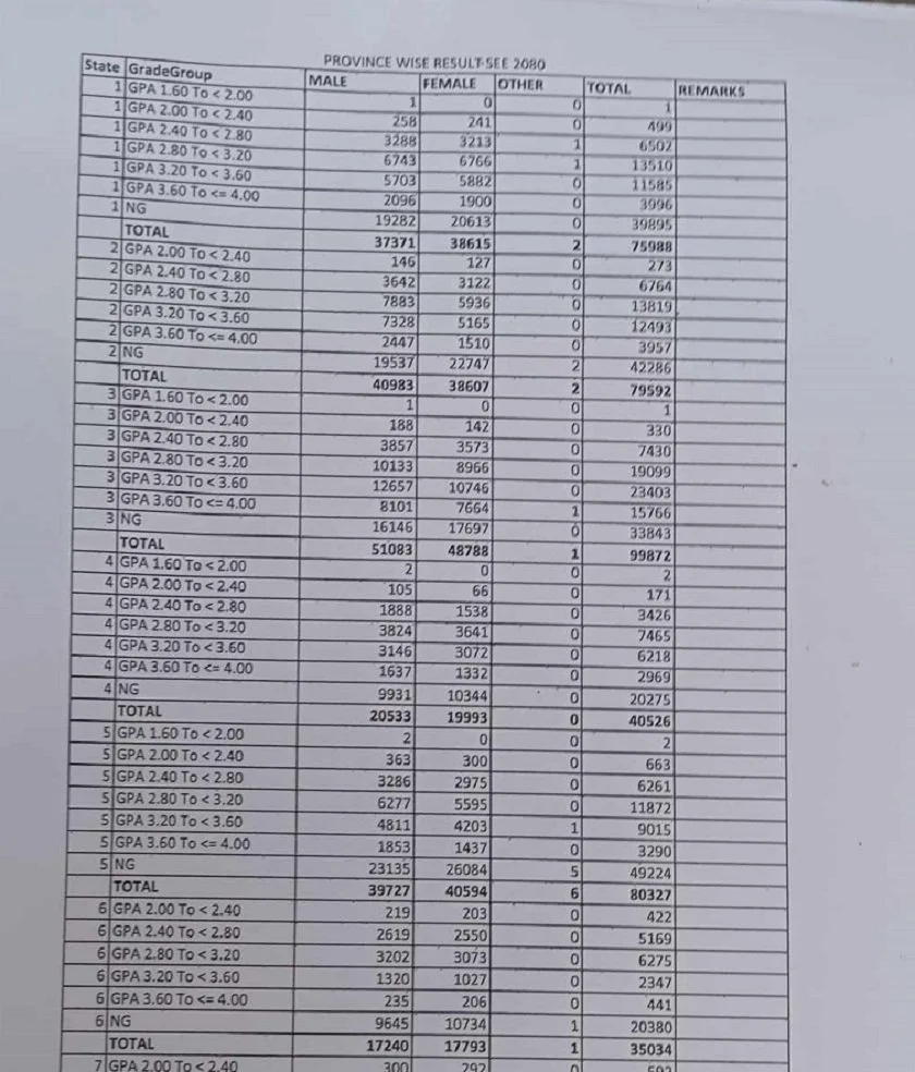
काठमाडौँ । माध्यमिक शिक्षा परीक्षा (एसईई) को नतिजा अनुसार कोशी प्रदेशबाट सहभागी कुल ७५ हजार ९८८ परीक्षार्थीमध्ये ३९ हजार ८९५ जना परीक्षार्थी अनुत्तीर्ण भएका छन् ।
यसैगरी मधेस प्रदेशबाट कुल ७९ हजार ५९२ परीक्षार्थीमध्ये ४२ हजार २८६ जना, बागमती प्रदेशबाट ९९ हजार ८७२ जना परीक्षार्थीमध्ये ३३ हजार ८४२ जना अनुत्तीर्ण भएका छन् ।
यसैगरी गण्डकी प्रदेशबाट कुल ४० हजार ५२६ जना परीक्षार्थीमध्ये २० हजार २७५ जना, लुम्बिनीबाट ८० हजार ३२७ जना परीक्षार्थी सहभागी भएकामा ४९ हजार २२४ जना फेल भएका छन् । यसैगरी कर्णालीबाट ३५ हजार ३४ जना परीक्षार्थीमध्ये २० हजार ३८० जना र सुदूरपश्चिमबाट ५३ हजार ४४६ जना परीक्षार्थी सहभागी हुँदा ३६ हजार ४१० जना अनुत्तीर्ण भएका छन् । परीक्षामा नियमिततर्फ ४ लाख ६४ हजार ७८५ जना परीक्षार्थी सहभागी थिए ।
उत्तीर्ण हुने भएकाहरूको जीपीए र समग्र प्रदेशगत नतिजा यस्तो छ




प्रतिक्रिया